艾滋病是全球公共卫生的重要威胁,据统计,全世界有约3800万人感染HIV-1病毒,抗逆转录病毒治疗(ART)已经将艾滋病从一种致命疾病转变为长期可控状态,但其无法根除体内的病毒,而且需要每天、终身用药,患者还易受到药物毒性影响,并面临耐药风险。
2024年9月12日,麻省理工学院-哈佛医学院/麻省总医院拉贡研究所、哈佛医学院贝斯以色列女执事医疗中心的研究人员在国际顶尖医学期刊 Nature Medicine 上发表了题为:Safety and antiviral effect of a triple combination of HIV-1 broadly neutralizing antibodies: a phase 1/2a trial 的研究论文。
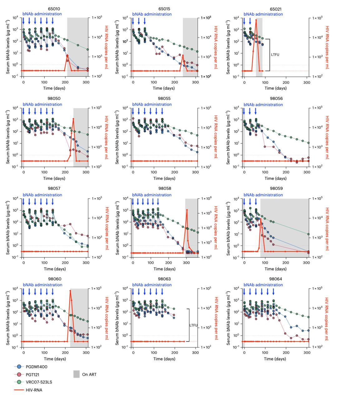
这项12名患者参与的1/2a期临床试验结果表明,3种广泛中和抗体(bNAb)的联合治疗,成功了抑制了HIV-1病毒感染者体内的病毒,部分患者在抗体水平降至低或无法检测的水平数月之后,仍显示出了对HIV-1病毒的长期控制,这种抗体鸡尾酒疗法有望提供一种减少患者对每天用药依赖的替代方案。
论文通讯作者 Dan H. Barouch 教授表示,这项研究数据表明,三重bNAb鸡尾酒疗法可以导致大多数HIV感染者在抗逆转录病毒治疗(ART)停药后的一段时间内的病毒控制,基于这些结果,团队计划进行更大规模的临床研究。
为了评估3种广泛中和抗体(bNAb)联合治疗的安全性、耐受性和抗病毒效果,研究团队招募了12名HIV-1病毒感染者,他们每个月接受3次这种抗体鸡尾酒疗法,只要参与者仍然处于病毒抑制状态,就可以选择再接受该疗法。参与者在第一次抗体输注后2天停止抗逆转录病毒治疗(ART)。
治疗结果显示,12名接受治疗的患者中,有2名患者的HIV-1病毒水平在6个月的bNAb给药期结束前反弹,其余10名患者(83%)在给药期间维持了病毒抑制状态,其中5名患者在接下来的6个月内出现病毒反弹,5名患者在研究期间表现出长期病毒控制。
论文第一作者 Boris Juelg 博士表示,总的来说,这项研究表明,在没有抗逆转录病毒治疗(ART)的情况下,三种具有显著中和广度的抗HIV-1抗体实际上能够在大多数HIV-1感染者中维持病毒抑制,至少是在给药期间。而在一个其中一小部分患者中,即使血液中的抗体水平已处于非常低的水平,对病毒的控制仍维持至第44周。未来的研究需要确定病毒控制的确切机制和持续时间。
总的来说,这项研究表明,广泛中和抗体(bNAb)可能为艾滋病患者提供一种新的治疗策略。据悉,研究团队目前正在开发这3种抗体的长效版本,有望带来3联bNAb鸡尾酒疗法,或能实现每6个月给药一次,用于艾滋病的预防和治疗。